Упр.26.1 ГДЗ Мерзляк 11 класс Углубленный уровень (Алгебра)
Решение #1

Рассмотрим вариант решения задания из учебника Мерзляк, Номировский, Поляков 11 класс, Вентана-Граф, Просвещение:
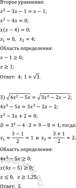
26.1. Решите уравнение:
1) |x^2-7x+3|=|x-4|; 4) v(3x+7)=7-x;
2) |x^2-3x-1|=x-1; 6) 7^(2x+3)=7^(3-x);
3) v(4x^2-5x)=v(3x^2-2x-2); 6) log_3 (x^2-7)=log_3 (-x-1).
*размещая тексты в комментариях ниже, вы автоматически соглашаетесь с пользовательским соглашением