Упр.11.2 ГДЗ Мерзляк 11 класс Углубленный уровень (Алгебра)
Решение #1

Рассмотрим вариант решения задания из учебника Мерзляк, Номировский, Поляков 11 класс, Вентана-Граф, Просвещение:
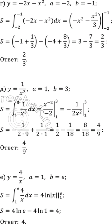
11.2. Найдите площадь криволинейной трапеции, изображённой на рисунке 11.12.
*размещая тексты в комментариях ниже, вы автоматически соглашаетесь с пользовательским соглашением