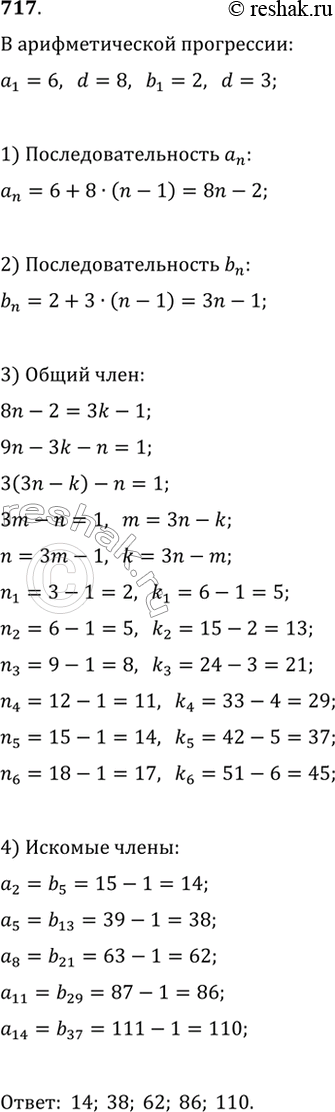
Упр.717 ГДЗ Макарычев Миндюк 9 класс (Углубленный) (Алгебра)
Решение #1

Рассмотрим вариант решения задания из учебника Макарычев, Миндюк, Нешков 9 класс, Просвещение:
717. Известно, что (a_n) — арифметическая прогрессия, в которой a_1=6, d=8, а (b_n) — арифметическая прогрессия, в которой b_1=2, d=3. Каждая из последовательностей содержит по 40 членов. Найдите все одинаковые члены последовательностей.
*размещая тексты в комментариях ниже, вы автоматически соглашаетесь с пользовательским соглашением