Упр.660 ГДЗ Макарычев Миндюк 9 класс (Углубленный) (Алгебра)
Решение #1

Рассмотрим вариант решения задания из учебника Макарычев, Миндюк, Нешков 9 класс, Просвещение:
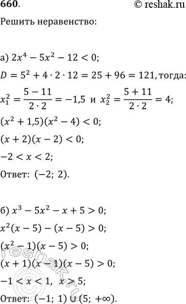
660. Решите неравенство: а) 2x^4-5x^2-12<0; б) x^3-5x^2-x+5>0.
*размещая тексты в комментариях ниже, вы автоматически соглашаетесь с пользовательским соглашением