Упр.601 ГДЗ Макарычев Миндюк 9 класс (Углубленный) (Алгебра)
Решение #1

Рассмотрим вариант решения задания из учебника Макарычев, Миндюк, Нешков 9 класс, Просвещение:
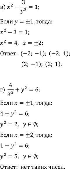
601. Найдите все целые решения уравнения:
а) x^2-y^2=3; б) x^2-y^2=4; в) x^2-3/y^2=1; г) 4/x^2+y^2=6.
*размещая тексты в комментариях ниже, вы автоматически соглашаетесь с пользовательским соглашением