Упр.449 ГДЗ Макарычев Миндюк 9 класс (Углубленный) (Алгебра)
Решение #1

Рассмотрим вариант решения задания из учебника Макарычев, Миндюк, Нешков 9 класс, Просвещение:
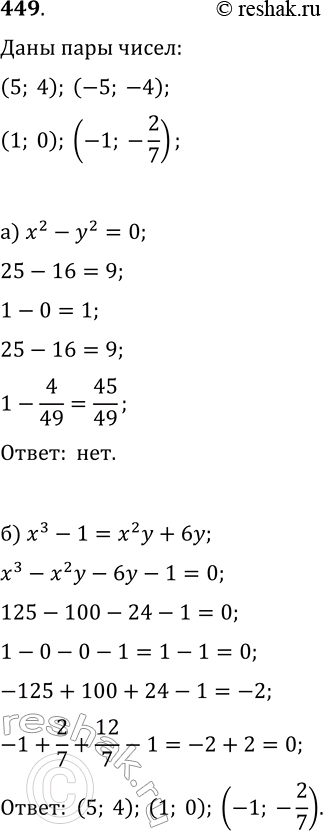
449. Какие из пар (5; 4), (1; 0), (—5; —4) и (-1; -2/7) являются решениями уравнения:
а) x^2-y^2=0; б) x^3-1=x^2y+6y?
*размещая тексты в комментариях ниже, вы автоматически соглашаетесь с пользовательским соглашением