Упр.382 ГДЗ Макарычев Миндюк 9 класс (Углубленный) (Алгебра)
Решение #1

Рассмотрим вариант решения задания из учебника Макарычев, Миндюк, Нешков 9 класс, Просвещение:
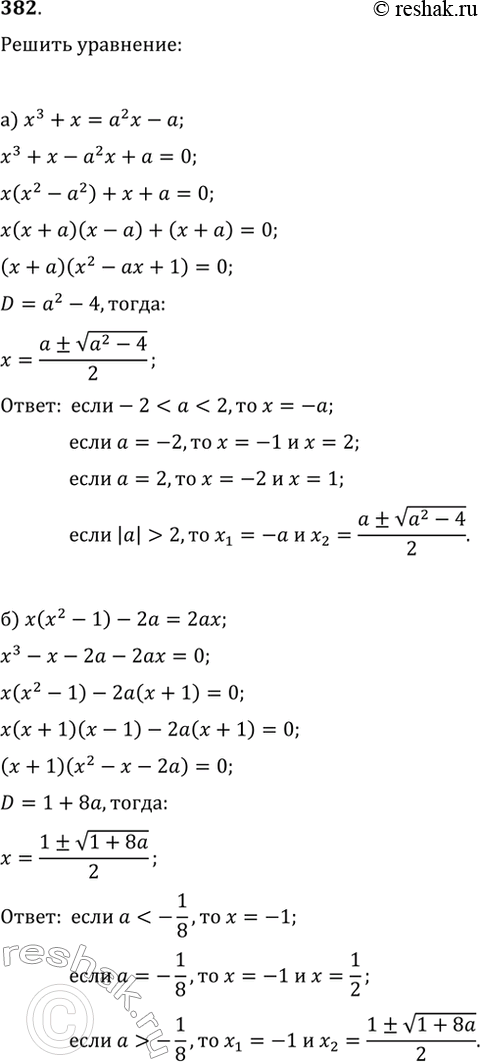
382. Решите относительно x уравнение, используя разложение на множители:
а) x^3+x=a^2x-a; б) x(x^2-1)-2a=2ax.
*размещая тексты в комментариях ниже, вы автоматически соглашаетесь с пользовательским соглашением