Упр.339 ГДЗ Макарычев Миндюк 9 класс (Углубленный) (Алгебра)
Решение #1

Рассмотрим вариант решения задания из учебника Макарычев, Миндюк, Нешков 9 класс, Просвещение:
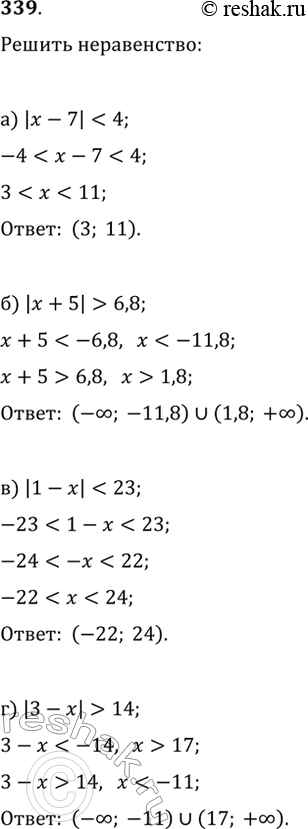
339. Решите неравенство:
а) |x-7|<4; в) |1-x|<23;
б) |x+5|>6,8; г) |3-x|>14.
*размещая тексты в комментариях ниже, вы автоматически соглашаетесь с пользовательским соглашением