Упр.305 ГДЗ Макарычев Миндюк 9 класс (Углубленный) (Алгебра)
Решение #1

Рассмотрим вариант решения задания из учебника Макарычев, Миндюк, Нешков 9 класс, Просвещение:
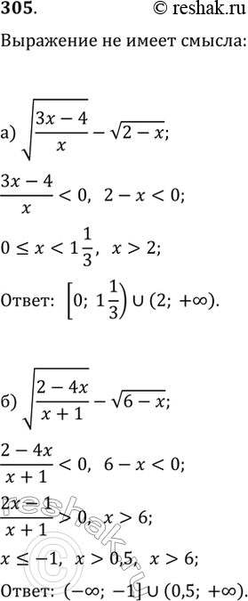
305. При каких значениях x не имеет смысла выражение:
а) v((3x-4)/x)-v(2-x); б) v((2-4x)/(x+1))-v(6-x)?
*размещая тексты в комментариях ниже, вы автоматически соглашаетесь с пользовательским соглашением