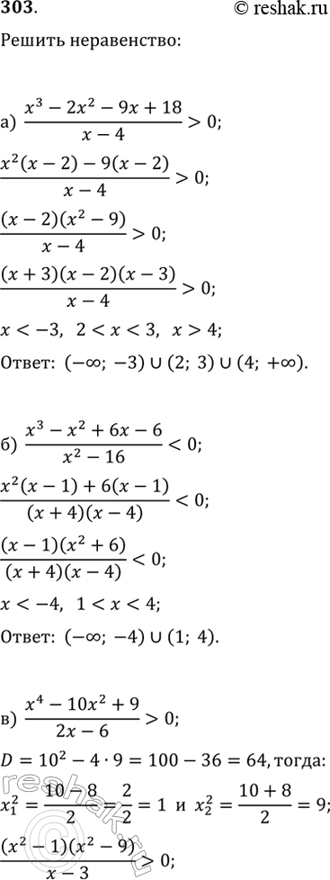
Упр.303 ГДЗ Макарычев Миндюк 9 класс (Углубленный) (Алгебра)
Решение #1

Рассмотрим вариант решения задания из учебника Макарычев, Миндюк, Нешков 9 класс, Просвещение:
303. Решите неравенство:
а) (x^3-2x^2-9x+18)/(x-4)>0; б) (x^3-x^2+6x-6)/(x^2-16)<0;
в) (x^4-10x^2+9)/(2x-6)>0; г) (x^4-3x^2-4)/x<0;
д) (x^3-2x+1)/(x+8)?0; е) (x^3-5x^2+8x-4)/(x-3)?0.
*размещая тексты в комментариях ниже, вы автоматически соглашаетесь с пользовательским соглашением