Упр.246 ГДЗ Бунимович Кузнецова 6 класс (Математика)

Решение #1

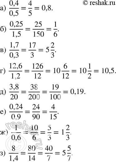
Изображение 246 Найдите значение выражения:а) 0,4/0,5;б) 0,25/1,5;в) 1,7/0,3;г) 12,6/1,2;д) 3,8/20;е) 0,24/0,9;ж) 1/0,6;з)...

Рассмотрим вариант решения задания из учебника Бунимович, Кузнецова, Минаева 6 класс, Просвещение:
246 Найдите значение выражения:
а) 0,4/0,5;
б) 0,25/1,5;
в) 1,7/0,3;
г) 12,6/1,2;
д) 3,8/20;
е) 0,24/0,9;
ж) 1/0,6;
з) 8/1,4.
*Цитирирование задания со ссылкой на учебник производится исключительно в учебных целях для лучшего понимания разбора решения задания.
*размещая тексты в комментариях ниже, вы автоматически соглашаетесь с пользовательским соглашением