Упр.217 ГДЗ Макарычев Миндюк 9 класс (Углубленный) (Алгебра)
Решение #1

Рассмотрим вариант решения задания из учебника Макарычев, Миндюк, Нешков 9 класс, Просвещение:
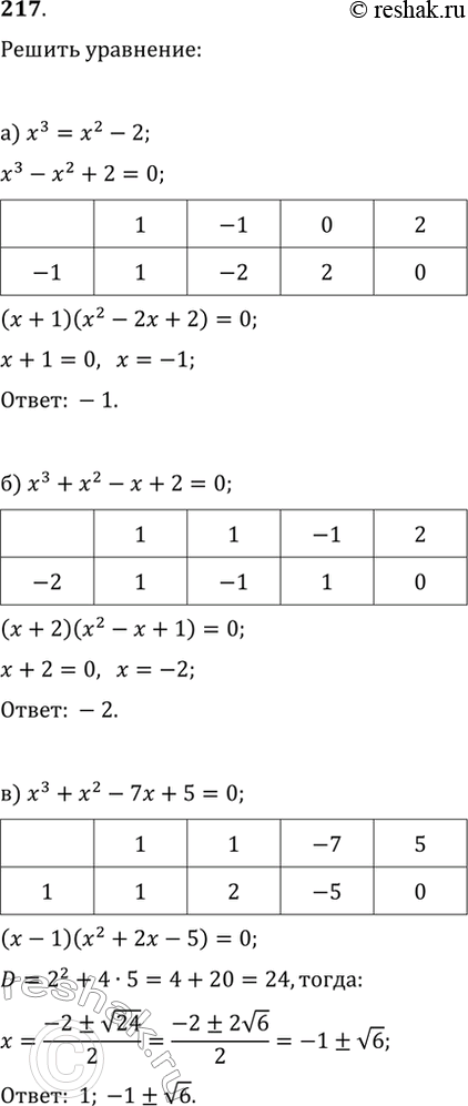
217. Найдите корни уравнения:
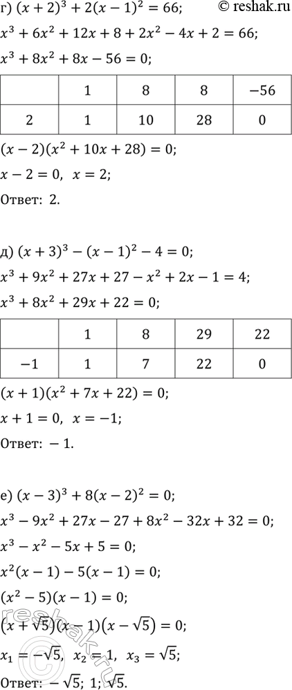
а) x^3=x^2-2; г) (x+2)^3+2(x-1)^2=66;
б) x^3+x^2-x+2=0; д) (x+3)^3-(x-1)^2-4=0;
в) x^3+x^2-7x+5=0; е) (x-3)^3+8(x-2)^2=0.
*размещая тексты в комментариях ниже, вы автоматически соглашаетесь с пользовательским соглашением