Упр.216 Рабочая тетрадь №1 ГДЗ Мерзляк Полонский 6 класс (Математика)
Решение #1

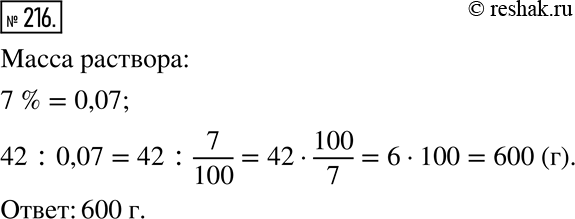
Рассмотрим вариант решения задания из учебника Мерзляк, Полонский, Якир 6 класс, Вентана-Граф:
216. Раствор содержит 42 г соли, что составляет 7 % его массы. Найдите массу раствора.
*размещая тексты в комментариях ниже, вы автоматически соглашаетесь с пользовательским соглашением