Упр.208 ГДЗ Макарычев Миндюк 9 класс (Углубленный) (Алгебра)
Решение #1

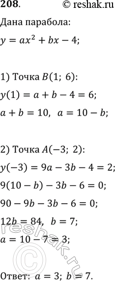
Рассмотрим вариант решения задания из учебника Макарычев, Миндюк, Нешков 9 класс, Просвещение:
208. При каких значениях а и b график функции y=ax^2+bx-4 проходит через точки A(—3; 2) и B(1; 6)?
*размещая тексты в комментариях ниже, вы автоматически соглашаетесь с пользовательским соглашением