Упр.177 ГДЗ Макарычев Миндюк 9 класс (Углубленный) (Алгебра)
Решение #1

Рассмотрим вариант решения задания из учебника Макарычев, Миндюк, Нешков 9 класс, Просвещение:
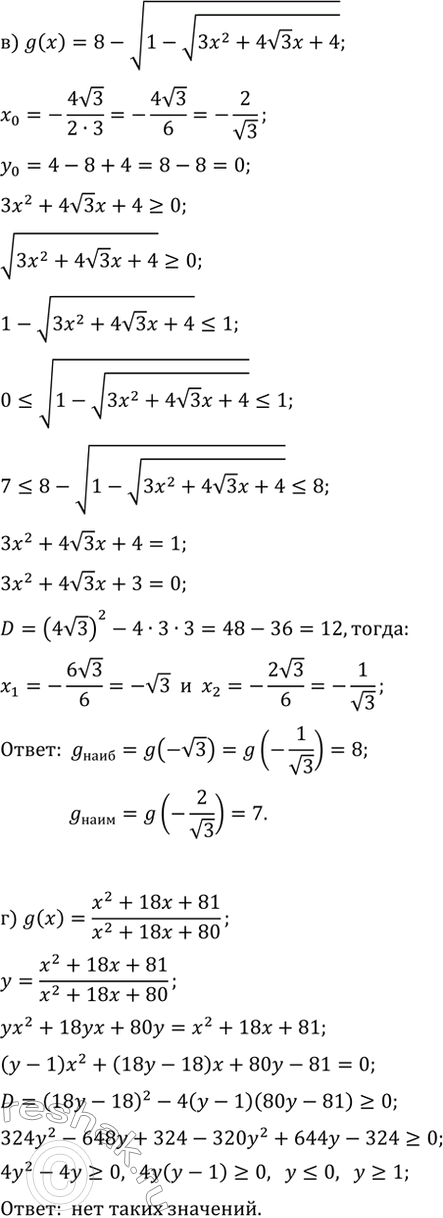
177. Найдите значения аргумента, при которых функция g(x) имеет наибольшее или наименьшее значения (если они существуют), и соответствующие им значения функции:
а) g(x)=4x^2/(2x^2+3); в) g(x)=8-v(1-v(3x^2+4v3x+4));
б) g(x)=1/(x^2-6x+12); г) g(x)=(x^2+18x+81)/(x^2+18x+80).
*размещая тексты в комментариях ниже, вы автоматически соглашаетесь с пользовательским соглашением